C11: Tree charts
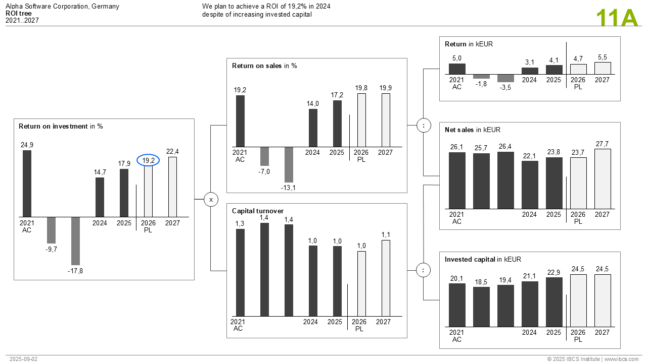
This template consists out of six separate charts showing related measures over time.
In the right chart column it shows the yearly development of the basic values „Return“, „Net sales“ and „Assets“. In the middle chart column two ratios are calculated which lead to „Return on assets“ in the left chart column. This chart type can be used best, if the mathematical relationship of two or more measures over time have to be presented. The number of time periods can be from 2 or 3 up to 8 or 15 in each chart.
Features for IBCS® certification of software
Required
- Proper scaling of charts with the same unit (values, volumes, shares, ratios) in this template
- Subtitles for every chart
- Notation concept for columns showing different scenarios
- Consistent title and footnote concept
.
.
Optional
- Message concept
- Highlighting differences
- Highlighting with trend arrows
- Integrating and highlighting comments