C13: Small multiples
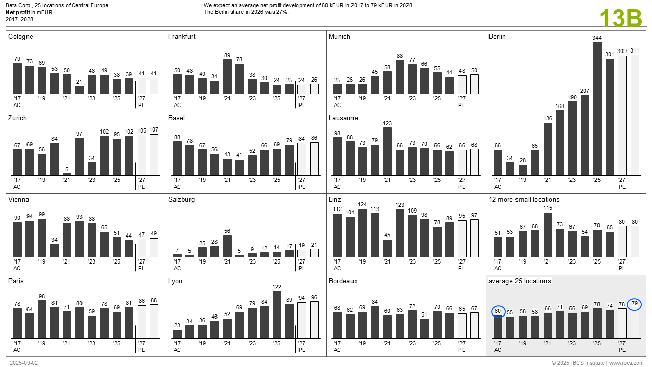
This template consists of small multiples for 16 locations representing yearly absolute variances of "Net profit".
This template can be used best, if the same measure has to be presented for different locations, product lines, etc. The number of small multiples can be up to 25 or more (depending on the number of columns per chart and the font-size being used).
Features for IBCS® certification of software
Required
- Proper scaling of all charts in this template
- Notation concept for the columns showing different scenarios
- Consistent title and footnote concept
.
.
Optional
- Message concept
- Highlighting differences
- Highlighting with trend arrows
- Integrating and highlighting comments